Vom Baumdiagramm zur Vierfeldertafel
1 Übersicht
In diesem Kurs lernst du, wie du aus einem Baumdiagramm eine Vierfeldertafel machst.
Dabei muss das Baumdiagramm eine bestimmte Form haben:
Es hat genau zwei Stufen
auf jeder Stufe sind genau zwei Ergebnisse.
Ein Beispiel dafür sieht so aus:

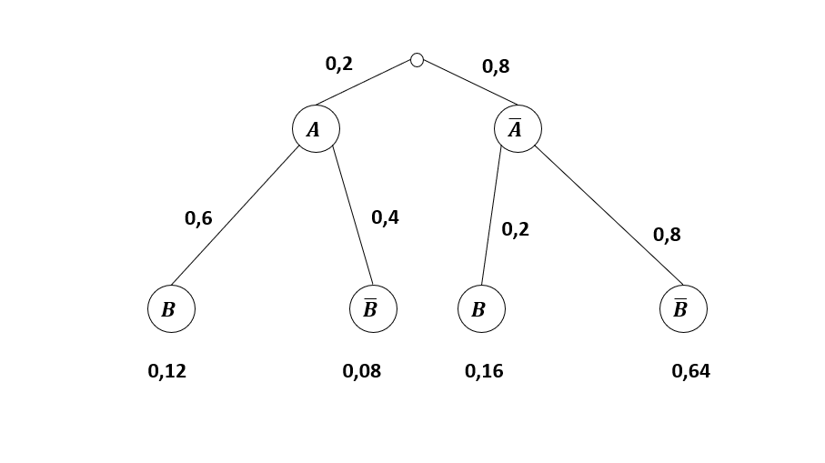
Beispielbaumdiagramm
weitere Voraussetzungen, die du für den Kurs mitbringen musst:
Du weißt, was ein Baumdiagramm ist
Du weißt, was eine Vierfeldertafel ist
Du weißt, was Wahrscheinlichkeiten sind und was die Mengenverknüpfung macht
Du kennst die Pfadregeln
2 Die Ausgangssituation
Du hast ein Baumdiagramm mit zwei Stufen und je zwei Ergebnissen pro Stufe mit den zugehörigen Wahrscheinlichkeiten und möchtest die Wahrscheinlichkeiten in eine Vierfeldertafel übertragen.

3 Schritt 1: Merkmale übertragen
Zunächst nimmst du dir die Mermale (Texte in den Knoten) und überträgst sie in die Zeilen- und Spaltenköpfe der Vierfeldertafel. Dabei ist egal, was du als Zeilenkopf und was als Spaltenkopf verwendest.

4 Schritt 2: Wahrscheinlichkeiten von erster Stufe
Die Felder ganz rechts und ganz unten beschreiben die Wahrscheinlichkeit , , ,. Im Baumdiagramm findest du nur die Wahrscheinlichkeiten auf der ersten Stufe.

Du kannst also die Werte auf der ersten Stufe auch im Beispiel in die Vierfeldertafel eintragen:

5 Schritt 3: Werte im inneren der Vierfeldertafel
Die Werte im Inneren der Vierfeldertafel sind die Wahrscheinlichkeiten der Schnittmengen, also . Im Baumdiagramm sind das die Wahrscheinlichkeiten am Ende des Pfades, die du mithilfe der 1. Pfadregel berechnen könntest, wenn sie noch nicht gegeben sein sollten.

Im Beispiel sieht das so aus:

6 Schritt 4: fehlende Werte ergänzen
Mehr brauchst du gar nicht mehr aus dem Baumdiagramm! Die fehlenden Werte ergeben sich aus der Vierfeldertafel durch Addieren der entsprechenden Felder:

7 Jetzt bist du dran!
Laden